Дональд Трамп побеждает на выборах президента США.
"Страна" в режиме реального времени следит за ходом голосования, поступающими данными о явке, предварительными результатами по ключевым штатам и первыми заявлениями штабов кандидатов.
Что нужно знать о выборах в Штатах и как они повлияют на Украину – в нашей аналитике.
Выборы в США - 2024: последние новости
23.40 Демократы должны признать результаты президентских выборов, заявила вице-президент Харрис в поствыборной речи.
Она подтвердила, что поздравила Трампа с победой.
.png)
23.23 США при Трампе попытаются положить конец войне в Украине и будут проводить политику военного невмешательства.
Об этом пишет агентство Associated Press, которое проанализировало заявления Трампа после того, как он объявил о планах баллотироваться в президенты.
При этом агентство уточняет, что способа завершения войны в Украине Трамп ни разу не озвучивал.
Также новый президент может планировать расширение армии и систем противоракетной обороны, чтобы проводить политику "мир через силу".
В то же время он критикует НАТО и высший генералитет США за отсутствие лидерства и приводит в пример Путина и Орбана.

22.23 Избранный президент Трамп может избежать наказаний за все четыре расследуемых против него дела, пишет Business Insider.
В обоих федеральных обвинениях Трамп может помиловать себя. Речь идет о деле атаки на Капитолийский холм сторонниками политика 6 января 2021 года. А также о ненадлежащем обращении с секретными документами во Флориде.
По делам на уровне штатов Трамп не может сам себя помиловать, но имеет полномочия «заморозить» разбирательство на время своего президентства. Речь идет об обвинениях в заговоре — якобы Трамп пытался отменить поражение на выборах в Джорджии в 2020 году. А еще – на уровне Нью-Йорка – дело о сокрытии платежа для порноактрисы Сторми Дэниелс.
Кроме того, издание NBC News со ссылкой на источники пишет, что Министерство юстиции США собирается свернуть уголовные дела в отношении Трампа еще до того, как он вступит в должность.

21.48 Уходящий президент Джо Байден позвонил вслед за Камалой Харрис Дональду Трампу и поздравил его с победой на президентских выборах в США, сообщили в Белом доме.
Отмечается, что Байден пообещал Трампу в телефонном разговоре гладкую передачу власти.
21.27 Камала Харрис потеряла тысячи голосов из-за неумения зумеров писать от руки и расписываться в документах, пишет Business Insider.
Издание сообщает, что из-за неспособности зумеров поставить две одинаковые подписи при голосовании по почте в ряде штатов были испорчены тысячи бюллетеней. Когда зумерам пытались позвонить для уточнения данных, оказалось, что молодёжь не отвечает на звонки с незнакомых номеров.
С 2010 года во многих американских школах перестали писать от руки на уроках, поэтому дети не владеют этим навыком.

20.52 Харрис позвонила Трампу и поздравила его с победой, сообщает АР.
.jpg)
20.42 Первые шаги Трампа после возвращения в Белый дом будут касаться нелегальной миграции и добычи нефти.
Об этом заявил старший советник предвыборной кампании Трампа Джейсон Миллер в эфире CBS.
«Вся политика безопасности границ, которая была введена Трампом, может быть просто возвращена так, как она была раньше. Им не нужно решение Конгресса, чтобы вернуть защиту границы», – сказал он.
Кроме того, Трамп может провести ряд мер, позволяющих снизить цены на энергоресурсы.
«Другие действия, конечно, будут нуждаться в законодательных действиях и соответствующих решениях», – указал советник Трампа.
По словам Миллера, Трамп превратил Республиканскую партию в «партию рабочего класса», что показал рост поддержки со стороны темнокожих избирателей и избирателей латиноамериканского происхождения.

20.06 Макрон и Трамп хотят восстановить мир, сообщает агентство AFP.
По информации агентства, президент Франции провел телефонный разговор с победителем выборов в США.
Они договорились "взаимодействовать в интересах восстановления мира и стабильности", пишет AFP.
Напомним, Макрон поздравил Трампа одним из первых.
19.38 Владелец Amazon Джефф Безос, который настоял на том, чтобы его газета Washington Post не призывала к голосованию за Харрис, поздравил Дональда Трампа с «необычайным политическим возвращением и решающей победой».
«Большие поздравления нашему 45-му и теперь 47-му президенту с выдающимся политическим возвращением и решительной победой. Ни у одной страны нет больших возможностей. Желаю Дональду Трампу всяческих успехов в руководстве и объединении Америки, которую мы все любим», – написал Безос в Х.
CNN пишет, что перед выборами Безос, объявив о нейтралитете (https://t.me/stranaua/173932)традиционно поддерживавшей демократов The Washington Post, столкнулся с обструкцией – отставкой почти трети редколлегии газеты и отменой подписки 250 000 читателей.
Зато сразу после выборов акции Amazon пошли в рост, прибавив 3% в ходе торгов.

19.09 Fuck: так немецкая Die Zeit отреагировала на победу Трампа.
«Отводить глаза не помогает, страх не помогает, и, в конце концов, остается лишь беспомощное самоуспокоение. Избирательная ночь перед телевизором», – говорится в подзаголовке.

18.53 Орбан требует изменить стратегию ЕС по Украине из-за победы Трампа, сообщает Deutsche Welle.
Выступая на саммите Организации тюркских государств в Бишкеке, премьер-министр Венгрии предположил, что после возвращения Дональда Трампа в Белый дом американская помощь Киеву может быть приостановлена.
В этой связи "имеются серьезные сомнения" в том, что Европа способна в одиночку взять на себя финансовую и военную поддержку Украины, поэтому необходима новая стратегия Евросоюза, подчеркнул Виктор Орбан.
Венгерский премьер одним из первых поздравил Трампа с победой на президентских выборах, назвав ее "блестящей" и дающей "надежду на мир во всем мире". 8 ноября в Будапеште пройдет неформальный саммит ЕС, на котором одной из главных тем будет победа Дональда Трампа в США и ее возможные последствия.
18.46 Лукашенко поздравил Трампа с возвращением на должность президента США, передает агентство БелТА.
18.00 Война в Украине "зашла в тупик" и ее надо остановить, заявил видный республиканец, сенатор Марко Рубио (Флорида), которого СМИ называют кандидатом на должность госсекретаря при Трампе.
"Я думаю, что украинцы были невероятно храбрыми и сильными, когда противостояли России. Но, в конце концов, то, что мы здесь финансируем, – это патовая война, и она должна быть доведена до конца. Я думаю, что здесь должен быть здравый смысл. Украине понадобится 100 лет, чтобы восстановить страну", – сказал Рубио в эфире Today.
Он добавил, что Трамп хочет завершения войны, но это не делает его "фанатом Путина".
По данным The Hill, Рубио рассматривается как возможный госсекретарь в администрации Трампа.

17.33 Харрис около 18.00 среды (01.00 четверга по киевскому времени) выступит с речью о признании своего поражения на президентских выборах, сообщает Рейтер.
Ранее о ее готовности признать поражения сообщал NBC.
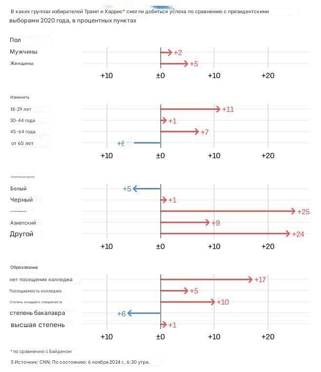
17.31 Победу Трампу принесли латиноамериканские граждане, молодежь и женщины, пишет Der Spiegel.
Хотя республиканец постоянно обещает выдворить нелегальных латиноамериканских мигрантов и достроить стену на границе с Мексикой, 45% латиноамериканцев с паспортом США проголосовали за него, 25% - за Харрис. В 2020 году у Трампа было 32%.
Среди 18–29-летних избирателей 78-летний республиканец сократил разрыв на 11% пунктов. А в самой многочисленной возрастной группе от 45 до 64 лет увеличил свое преимущество с 1 до 8%.
Среди женщин, по предварительным данным, Трамп набрал даже больше, чем среди мужчин. Хотя Харрис целилась на эту аудиторию с темой абортов.
Среди людей без высшего образования у Трампа также еще больше выросла поддержка.
У Харрис же была большая поддержка чернокожих.
«Почему так происходит? Одно из объяснений может быть таким: «Это экономика, дурак». Почти 3/4 избирателей Трампа заявили, что в прошлом году инфляция стала причиной семейных трудностей. При этом годовой уровень инфляции недавно составил всего 2,4 процента. Но многие люди, очевидно, все еще обижаются на Харрис и Байдена за рост цен, вызванный конфликтом России и Украины и энергетическим кризисом в 2022 году. Избиратели Харрис, напротив, назвали состояние демократии самым важным вопросом на выборах. Но похоже, что Трампу удалось лучше мобилизовать своих сторонников, используя проблему инфляции, чем Камале Харрис — с помощью беспокойства о будущем демократии», - пишет издание.

17.21 В соцсетях вспоминают, кто как из украинских деятелей называл в прошлом Трампа.
Расходится скрин с заявлением бывшего главы одесского "Правого сектора" Сергея Стерненко, который в 2023 году называл Трамп «мразью».

А Игорь Лаченков (администратор телеграм-канала «Лачен пише») в 2016 году называл Трампа «пи@орасом».

17.15 Байден и Харрис готовятся позвонить Трампу, чтобы признать поражение демократов на президентских выборах, пишет NBC со ссылкой источники в Белом доме.
16.57 Почему проиграла Камала Харрис, анализирует обозреватель Foreign Policy Майкл Хирш.
По его мнению, Харрис потратила слишком много времени, пытаясь доказать, что Трамп непригоден для президентства, и слишком мало времени, чтобы связано донести, почему она лучше.
Харрис нередко сбивалась, когда ее просили убедительно изложить программу действий по таким важнейшим вопросам, как экономика и иммиграция. Плохо объясняла свои колебания по таким вопросам, как добыча сланцевой нефти и газа путем гидроразрыва пласта (против которого она когда-то выступала, а потом поддержала).
Но одна из главных причин поражения, по мнению Хирша - это масштабное недовольство населения политикой команды Байдена.
«На самом деле перед Харрис, возможно, стояла практически невыполнимая задача — попытаться преодолеть постоянно низкие рейтинги одобрения Байдена, когда около 2/3 или более избирателей считают, что нация идет по неверному пути», - пишет Хирш.
По его мнению Харрис так и не смогла найти "политически гибкий способ" дистанцироваться от Байдена.
«На ум ничего не приходит», — "неловко" ответила Харрис, когда ее спросили, что бы та сделала иначе, чем Байден. И этим, как пишет Хирш, она «привела в ужас советников и вызвала в интернете извержение триумфализма Трампа».

16.40 Орбан за одну ночь из "непослушного ребенка Европы" превратился в "ценного посредника, ближайшего в Европе конфидента" Трампа, пишет эксперт берлинского центра Карнеги Александр Баунов.
"Орбан был единственным лидером Европы, которые регулярно встречался и созванивался с Трампом, причем делал это не снисходительно, а с большим пиететом", - пишет он.
И отмечает, что уже 7-8 ноября лидеры ЕС обсудят свои действия в новых реалиях на саммите в Будапеште.

16.35 По украинским телеграм-каналам расходится фейковый твит Илона Маска.
«Это последний доллар для Зеленского», - якобы написал бизнесмен и опубликовал фото доллара, где Трамп улыбаясь показывает средний палец.
Однако в ленте Маска такой публикации нет.

16.18 Биткоин сегодня утром на фоне новостей о победе Трампа достиг 75 тыс. долл., установив новый исторический рекорд.
Сейчас он уже опустился до 73,3 тыс.
Напомним, что Трамп обещал сделать Штаты "криптостолицей планеты" и создать "стратегический резерв" биткоина.
Также СМИ подсчитали, что сейчас на выборах в Конгресс лидируют сторонники криптовалюты - 247 против 113 в Палате представителей и 15 против 10 в Сенате.

16.00 Макрон призвал страны ЕС договориться о совместных шагах после победы Трампа, чтобы не допустить принципа "каждый сам за себя".
Президент Франции сообщает, что уже обсудил эту тему с Шольцем.
"Мы собираемся работать над созданием более единой, более сильной и более суверенной Европы в новых условиях. Сотрудничая с Соединенными Штатами Америки и защищая наши интересы и наши ценности", - пишет Макрон.

15.50 Букмекеры принимают ставки на то, закончит ли Трамп войну в Украине за ближайшие 3 месяца.
Сейчас такая перспектива оценивается в 48%.
Условие следующее: "Украина и Россия объявят о перемирии, прекращении огня или урегулировании войны в Украине путем переговоров в любой момент между объявлением Associated Press о победе Дональда Трампа и 19 апреля 2025 года".


15.35 Американские арабы активнее поддерживали Трампа, а евреи - Харрис.
Эмиратская газета Aletihad News Center пишет, что американцы арабского происхождения, недовольные политикой Байдена по войне на Ближнем Востоке, обеспечили Трампу победу в колеблющемся штате Мичиган, где проживает десятая часть всей арабской диаспоры в США - 400 тыс. человек.
В то же время проводящая экзит-полы организация National Election Pool сообщает, что 79% опрошенных евреев голосовали за Харрис и только 21% - за Трампа. Это самая слабая поддержка республиканцев евреями за 24 года.
Опрос Fox News показывает чуть другую цифру - 67% евреев за Харрис против 31% за Трампа.
15.26 К маю нефть подешевеет до 50 долл. за баррель и на планете воцарится мир, прогнозирует российский олигарх Олег Дерипаска, комментируя победу Трампа.
«Мир будет, похоже, везде», - добавляет бизнесмен.
Отметим, что ещё с начала вторжения одним из способом давление на Россию со стороны США называлось опускание цены на нефть. Однако больших успехов в этом плане достигнуто не было и нефть держится по-прежнему на относительно высоком уровне.
Это происходит, в том числе и потому что Россия и ОПЕК (формат ОПЕК+) координируют работу по регулированию уровня нефтедобычи, чтобы не дать цене сильно опуститься. А влияние США на крупнейшего члена ОПЕК Саудовскую Аравию при Байдене серьезно упало.
Как считается, у Трампа значительно лучше отношения с саудитами. Но сможет и захочет ли будущий президент США использовать этот инструмент для давления на Россию, пока непонятно.

15.03 Евро падает к доллару на фоне новостей о победе Трампа - уже 1,0697.

14.58 Немецкие бизнесмены и экономисты опасаются, что с возвращением Трампа может начаться новая торговая война США и Евросоюза, передает DW.
Республиканец заявлял, что планирует ввести пошлины на продукцию ЕС.
Эти пошлины поднимут цены на немецкие товары в Штатах и, скорее всего, приведут к ответным пошлинам со стороны ЕС, "что еще больше обременит внешнюю торговлю", говорит главный экономист Commerzbank Йорг Кремер.
"Мы критически относимся к импортным пошлинам на европейские и китайские товары. Миру нужно меньше, а не больше торговых ограничений", - заявил президент немецкой ассоциации внешней торговли BGA Дирк Джандура.
Мы уже писали, что приход к власти Трампа может вызвать очень сильные трения между Америкой и Евросоюзом. Трамп регулярно заявляет, что ЕС и особенно Германия - главная экономическая проблема для США, так как Америка имеет с Евросоюзом отрицательный торговый баланс. Также Трамп требует, чтоб европейцы несли больше расходов на оборону и по Украине.
14.16 Журнал Time опубликовал обложку нового выпуска с Трампом, назвав его избранным президентом США.
Трампа изобразили в полный рост на фоне американского флага.

14.02 Фицо заявил, что Трамп может прекратить или значительно сократить помощь Украине.
13.45 МИД РФ заявляет о готовности сотрудничать с администрацией Трампа, но при условии достижения российских целей войны в Украине.
"Россия будет работать с новой Администрацией, когда она «пропишется» в Белом доме, жёстко отстаивая российские национальные интересы и ориентируясь на достижение всех поставленных целей специальной военной операции", - говорится в заявлении.
Москва заявляет, что "не питает иллюзий" в отношении Трампа, "который в России хорошо известен", поскольку американская элита, "независимо от партийной принадлежности, придерживается антироссийских установок и линии на "сдерживание Москвы".
Также МИД РФ утверждает, что возвращение Трампа может "подстегнуть усиление внутренней напряжённости и ожесточение противоборствующих лагерей" в Штатах.


13.15 Сенатор от штата Юта Майк Ли (республиканец предложил «демонтировать Вашингтон, как мы его знаем».
Илон Маск с ним согласился.

Бизнесмен, который должен получить должность в администрации Трампа, заявил, что намерен добиться сокращения числа федеральных агентств в США, чтобы повысить эффективность правительства.
"У нас гигантская бюрократия, у нас чрезмерное регулирование. Нам нужно позволить строителям Америки строить", - сказал он в интервью Такеру Карлсону.

Ранее Трамп обещал разрушить «deep state» (глубинное государство),
12.59 В Вашингтоне сторонники Харрис разошлись с вечеринки демократов у Говардского университета, где их кандидат должна была произнести победную речь.
_.jpeg)


12.50 Новое заявление из Москвы о готовности договариваться с Трампом.
Спикер Совфеда Матвиенко заявила, что "Россия готова к обсуждению вопросов мировой безопасности" с новым президентом США.
При этом она призвала "не ожидать многого" от победы Трампа.
Ранее Песков сказал, что Путин «открыт к диалогу», но дал понять, что Москва ждет инициативы со стороны Вашингтона.
12.39 Близкие к демократам СМИ подтверждают победу Трампа.
По данным CNN, у республиканца уже 276 голосов выборщиков при 270 необходимых.
По данным The New York Times Трамп получает 277 голосов выборщиков.

11.51 Трамп победил. Что это значит для Украины?
Победивший на выборах президента США Дональд Трамп сделал войну в Украине одной из центральных тем своей предвыборной кампании. Он обвинял Байдена, что тот втягивает США в третью мировую войну, заявлял, что при нем Путин бы на Украину не напал бы и обещал закончить войну за 24 часа. А его советники и кандидат в вице-президенты Вэнс обрисовали и конкретный план как Трамп войну может закончить – остановить боевые действия по линии фронта, фактически оставив России ее территориальные завоевания, и не брать Украину в НАТО.
Однако, как показал опыт первого президентского срока, далеко не все, что обещает и хочет делать Трамп, он делает в реальности.
Поэтому разберем по пунктам, что может поменяется для Украины с победой Трампа.
1. Начнем с базы. Как мы уже писали, если США захотят завершить войну в Украине по линии фронта, это уже 80% того, что так и будет. Ни украинские власти, ни Европа не смогут сопротивляться в этом плане воле Вашингтона. 20% остается на согласование условий завершения войны, которые бы устроили и Украину, и Россию. Это будет сложно, но возможно. Украина тотально зависит от помощи Вашингтона и не в том положении, чтоб настаивать на невыполнимых условиях. А на Россию, если она будет тормозить процесс, можно будет повлиять через Китай и другие страны Глобального юга, которые заинтересованы в скорейшем завершении войны. Тут тоже могут быть, правда, определенные нюансы (но о них чуть ниже), но, повторимся, главный вопрос какую позицию займет США. А точнее - займет ли действительно Вашингтон при новом президенте позицию «мы завершаем войну».
2. То, что именно такая будет позиция далеко не предопределено. Во-первых, до инаугурации нового президента править США будет команда Байдена и она может принять несколько решений, которые резко усложнят любые договоренности об окончании войны. Например, разрешит бить дальнобойными ракетами по российской территории. Правда, против этого может выступить умеренная часть администрации Байдена в лице, например, Салливана, с учетом того, что подобные действия создают риск прямого столкновения США с Россией с угрозой ядерной войны. И потому вряд ли кто-то в американской элите готов выписать мандат Байдену, чтоб тот на исходе своего правления отправил Америку на войну. Во-вторых, внутри самой Республиканской партии существует сильная «партия войны», которая выступает за намного более жесткий подход в отношении России, чем Байден. Это крыло, которое связано с американским ВПК, а также с нефтегазовым бизнесом – теми, кто получает прямую выгоду от войны в Украине. И это крыло постарается убедить Трампа в том, что война – это «хороший бизнес». Война позволила американцам завоевать европейский рынок нефти и газа, выдавив оттуда россиян. Война привязывает Европу к США, делая ЕС зависимым от оборонных гарантий американцев. Война ослабляет двух основных экономических конкурентов Америки – Европу (из-за разрушения связей с РФ) и Китай (из-за того, что американцам теперь легче продавливать в ЕС торговые ограничения против КНР). Плюс – оружейные заказы, перспективы разработки полезных ископаемых в Украине и т.д. Все эти аргументы, вероятно, и будут предъявлены Трампу, чтоб он отказался от идеи остановить войну по линии фронта.
3. В тоже время, в окружении Трампа есть сильное крыло, которое считает, что война в Украине это «плохой бизнес» для Америки. Во-первых, она несет угрозу ядерной войны, которая погубит США. Во-вторых, она сближает Россию с Китаем, укрепляет и радикализирует антиамериканские альянсы во всем мире. В-третьих, нет гарантий, что Европа и далее будет следовать в фарватере американской политики, а не решит начать свою игру, восстановив отношения с Россией и с Китаем ради получения экономических выгод. В-четвертых, рост военных расходов становится все более опасным для американской экономики, так как ведет к увеличению эмиссии доллара и внешнего долга.
4. Аргументы какой части республиканцев окажутся для Трампа более весомыми и какое он примет решение по итогу непонятно. Но если он и его администрация решат все ж таки завершить войну, то тогда глобальная партия войны попытается активировать свой «московский филиал». То есть – партию войны в России, которая будет убеждать Путина не соглашаться на остановку войны по линии фронта, а «воевать до талого», «не соглашаться на мир пока российский флаг не будет развиваться над Киевом» и т.д. И если будет ситуация, когда Трамп предложит Путину мир, а Путин откажет (либо выдвинет заведомо невыполнимые условия), то это само по себе может привести к резкой эскалации, так как Вашингтон тогда, вероятно, попытается каким-то образом надавить на Кремль, «подняв ставки». И, в итоге, война может разгореться еще сильнее, чем при Байдене. Что, собственно, и нужно «глобальной партии войны». Однако возможности Путина отказаться от предложения завершить войну по линии фронта ограничены. Как писалось выше, это может испортить отношения РФ с Китаем и другими странами Глобального юга, фактически отправив Россию в международную изоляцию. Кроме того, согласно всем опросам, за скорейшую остановку войны по линии фронта выступает подавляющее большинство россиян. Продолжение же войны связано с необходимостью проводить мобилизацию и идти на иные непопулярные меры, на которые Кремль, очевидно, идти не хочет. Наконец, завершение войны на условиях сохранения контроля РФ над огромными захваченными территориями Украины это, фактически, будет большой победой России, особенно с учетом того, что все могло бы для нее завершиться гораздо хуже. Поэтому есть далеко не нулевая вероятность того, что Путин не будет отвергать предложения Трампа, если они поступят, а вступит в переговоры с целью добиться наилучших для РФ условий прекращения огня. То есть, повторимся, главный вопрос – займет ли позицию по остановке войны Трамп и его администрация. Если займет, то все остальные вопросы будут более-менее решаемы.
5. При этом какую бы позицию не занял бы Трамп, сам по себе его приход к власти в США будет иметь серьезные геополитические последствия для Европы. С большей долей вероятности возникнут очень сильные трения между Америкой и Евросоюзом. Причем не столько по политическим или идеологическим вопросам (правящие в крупнейших странах Западной Европы леволибералы против правого консерватора Трампа), сколько по чисто экономическим темам. Трамп регулярно заявляет, что ЕС и, особенно, Германия, главная экономическая проблема для США, так как Америка имеет с Евросоюзом отрицательный торговый баланс. Также Трамп требует, чтоб европейцы несли больше расходов на оборону и по Украине. Поэтому противоречия будут серьезными. Что может прямо сказаться на отношении и США, и ЕС к Украине, которая окажется не в фокусе у обоих в ходе больших внутризападных разборок. Также это даст возможность России и Китаю вести свою игру на этих противоречиях. Поэтому геополитический ландшафт в Европе может измениться очень сильно.
6. Подытоживая – пока нет четкого понимания того, какую в реальности политику будет проводить Трамп по Украине. В его окружении есть силы, которые выступают за скорейшее окончание войны, а есть те, кто хочет ее продолжения или даже эскалации. То, кто победит в этой «схватке за Трампа» и определит ход событий. Однако шанс на скорейшее завершения войны победа Трампа дает. Шанс на то, что в Украине прекратится поток крови, слез и страданий, на то, что на улицах украинских городов прекратится охота на мужчин, на то, что Славянск и Краматорск не разнесут в щепки, на жителей Херсона перестанут охотиться дроны, а на Харьков не будут больше падать КАБы. Шанс на мир.
11.28 Расплата. Почему проиграла Харрис
В проигрыше на выборах Камалы Харрис демократы могут винить только себя.
Само по себе то, что ее выдвинули как кандидата стало свидетельством полной интеллектуальной и политической деградации демократического истеблишмента.
После выхода из гонки президента Байдена у Демпартии была возможность выставить сильного кандидата, который вынес бы Трампа «в одну калитку». Мишель Обама или же один из губернаторов-демократов имели абсолютные шансы на победу, учитывая высочайший рейтинг недоверия к республиканцу. Однако Демпартия решила сделать ставку на самого слабого (помимо Байдена) кандидата – Камалу Харрис. Хотя было общеизвестно, что она, мягко говоря, не умна, слаба в публичных выступлениях (и, по итогу, штаб во время кампании фактически был вынужден «прятать» ее от журналистов), а также несет на себе весь негатив команды Байдена.
Еще на этапе выдвижения Харрис среди демократов раздавались призывы не торопиться с выбором, а провести полноценные праймериз (в частности, к этому призывал самый умный из лидеров Демпартии Барак Обама). Но истеблишмент, в лице Нэнси Пэлоси и Клинтонов, все ж таки продавил Харрис. И уже тогда «Страна» писала, что это уменьшает вероятность победы кандидата от демократов до уровня «50 на 50».
И, в результате, победил Трамп.
Поражение команды Байдена также является своего рода расплатой и за ее внешнюю политику, включая полномасштабную войну в Украине. В том, что она вообще началась администрация президента США сыграла далеко не последнюю роль.
Представители американской власти подтверждают, что еще с осени 2021 года имели информацию о том, что Путин готовит вторжение в Украину.
И у Вашингтона было два пути его предотвратить.
Первый – согласиться на предложенное Путиным в декабре 2021 года соглашение о безопасности в Европе, включая обязательство не расширять НАТО и не включать в Альянс Украину.
Второй – дать четко понять, что, в случае нападения России на Украину, США вступают в войну. И подкрепить это конкретными действиями. Например, отправкой подразделений армии США под Харьков и Киев.
И в первом, и во втором случае, с вероятностью близкой к 100%, никакой войны бы не было.
Но Байден и его ключевые советники – Нуланд и Блинкен, видимо, возомнили себя великими «геополитическими комбинаторами» и решили сыграть в «хитрую игру», фактически подтолкнув Путина к вторжению, рассчитывая, что оно приведет к его краху. Поэтому они, с одной стороны, не шли ни на какие компромиссы с РФ по поводу нейтрального статуса Украины. А с другой стороны, практически в ежедневном режиме повторяли как мантру, что «США вступать в войну не будут».То есть они как бы говорили Путину: «ничего из того, что ты просишь, мы тебе не дадим. Но и за Украину воевать не будем. Введем только санкции, что-то по мелочи еще подкинем ВСУ вроде «Джавелинов» и «Стингеров» и на этом все. Поэтому кушайте Украину, Владимир Владимирович за три дня. Приятного аппетита!».
У Байдена рассчитывали, вероятно, что таким образом затягивают Россию в ловушку, что РФ, толком не подготовившись к войне, потерпит полное поражение, в самой России начнется смута и Путин будет свергнут. Не исключено, что основанием для таких рассуждений было наличие контакта западных спецслужб с частью окружения Путина, которое затем организовало мятеж Пригожина (либо наличие информации о подобных планах).
Но если такой расчет и был, то летом-осенью 2023 года он рухнул – наступление ВСУ закончилось неудачей, инициативу на фронте перехватила российская армия, мятеж Пригожина провалился, а сам он погиб, Путин укрепил свою власть внутри РФ, Россия еще больше сблизилась с Китаем, антизападный и антиамериканский альянс в мире стал еще сильнее.
А Украина залита кровью.
Поэтом поражение Харрис – в том числе и карма за безумную геополитическую стратегию команды Байдена, которая стала одной из причин ужасной войны с тысячами жертв.
Ну а мир стоит на пороге новой эпохи – эпохи Трампа. Какая она будет и что принесет Украине – мы напишем чуть позже. Следите за обновлениями на нашем канале.
11.19 Эрдоган, поздравляя Трампа с победой на выборах, упомянул Украину.
«Я надеюсь, что отношения между Турцией и США укрепятся, региональные и глобальные кризисы и войны, особенно палестинский вопрос и российско-украинская война, прекратятся; я верю, что будет приложено больше усилий для создания более справедливого мира», - написал президент Турции.
Также канцлер ФРГ Шольц поздравил Трампа.

11.11 Полное выступление Трампа с переводом по итогам выборов.
10.34 Празднуя победу, Трамп потанцевал на трибуне перед своими сторонниками.
10.26 Также Трампа поздравили премьер Британии Кир Стармер, генсек НАТО Марк Рютте, канцлер Австрии Карл Нехаммер, президент Грузии Саломе Зурабишвили и премьер Ираклий Кобахидзе, президент Сербии Александр Вучич.
10.13 Зеленский поздравил Трампа с победой.
"Я ценю приверженность Президента Трампа к подходу «мир через силу» по глобальным делам. Именно этот принцип реально приблизит справедливый мир в Украине. Надеюсь, что мы вместе воплотим его в жизнь", - пишет президент Украины.
И добавил, что Киев "рассчитывает на дальнейшую мощную двухпартийную поддержку Украины в Соединенных Штатах".

10.05 Премьер Израиля Нетаньяху также поздравляет Трампа.

10.00 Макрон поздравил Трампа с победой на выборах президента США.

09.54 «Я собираюсь остановить войны. Больше никаких войн, во время моей каденции», - заявил Трамп.
Напомним, он заявлял, что остановит войну в Украине за 24 часа после своей победы.
09.53 Один из ключевых американских телеканалов, поддерживающих демократическую партию, объявил Трампа победителем на выборах.
CNN пишет, что Трамп набрал необходимые 270 голосов выборщиков.
По его данным, республиканец забрал Пенсильванию, Джорджию и Северную Каролину.

09.49 Трамп заявил, что одержал победу почти во всех колеблющихся штатах.
«Эта избирательная кампания стала самой лучшей в истории президентских выборов США», - сказал республиканец.
09.33 Трамп заявил о своей "политической победе", назвал себя 47-м президентом США.
«Спасибо, что выбрали меня 47-ым президентом США», — заявил Трамп
«Это была самая невероятная политическая вещь, посмотрите, что произошло. Наша страна никогда не видела ничего подобного… Я буду бороться за вас и ваше будущее каждый день. Это будет золотой век Америки», - добавил республиканец.
Трамп считает, что по итогу он наберет более 315 голосов выборщиков, а республиканцы сохранят контроль над Палатой представителей и выиграют большинство в Сенате.
09.25 Президент Сальвадора первым поздравил Трампа с предполагаемой победой на выборах.

Виктор Орбан также уверен в победе республиканца.
«Доброе утро, Венгрия! На пути к прекрасной победе», - написал премьер.

09:19 Спикер Палаты представителей Джонсон объявил Трампа избранным президентом США, передает Reuters.
09:10 Телеканалы CNN и NBC (оба считаются близкими к Демпартии) назвали Трампа победителем в ключевом штате Пенсильвания. По их данным, теперь у него 265 или 266 выборщиков.
Напомним, канал Fox News (близкий к республиканцам) уже объявил Трампа победителем выборов.


08:56 Телеканал Fox News также объявил победу Трампа на выборах президента США. Сообщается, что он набрал 277 голосов выборщиков (при необходимых для победы 270).

08:50 Трамп уже победил на выборах президента США. Об этом пишет издание The Hill со ссылкой на компанию DDHQ, которая анализирует результаты голосования.
Утверждается, что республиканец уже набрал 270 голосов выборщиков, чего достаточно для победы.
Издание пишет, что Трамп одержал победу в Пенсильвании.

08:22 Телеканал Fox News прогнозирует, что Трамп победил в ключевом штате - Пенсильвания. И пишет, что таким образом у него есть 267 выборщиков - то есть, до победы на выборах президента осталось только три голоса.
Другие медиа о победе Трампа в Пенсильвании пока не пишут. Они дают ему преимущество в 51% при 47,8 у Харрис. Подсчитано 93% бюллетеней.

08:12 Газета New York Times повысила шансы Трампа на победу. Издание пишет, что они превышают 95%, и победа республиканца "очень вероятна".

07:50 Трамп предположительно выиграл в двух из восьми колеблющихся штатов - Джорджии и Северной Каролине, пишет NBC News.
Еще в пяти - включая важнейшую Пенсильванию - он лидирует. Непонятен расклад только в Неваде, где еще не считали голоса.

07:40 Тем временем республиканцы побеждают на выборах в американский Сенат, которые идут одновременно с президентскими.
По данным Associated Press, партия Трампа на данный момент получает 51 место в Сенате, а демократы - 42. Еще два места не определены, но расклада они уже не изменят.
Напомним, республиканцы сейчас контролируют и нижнюю палату Конгресса - Палату представителей.

07:29 Букмекеры, как и американские СМИ, на эту минуту прочат победу Дональду Трампу.
Агентство Polymarket оценивает вероятность выиграша Трампа в 96,8%, Харрис — в 3,4%.

07.22 СNN публикует обновленные данные. У Харрис - 182 выборщика (+29 к предыдущему результату), у Трампа - 230 выборщиков (+3).

07:09 Трамп вырвался в лидеры во всех ключевых колеблющихся штатах: Джорджии, Северной Каролине, Пенсильвании, Аризоне, Мичигане, Висконсине и Неваде.
Харрис побеждает в Небраске, правда, там только один выборщик.

06:51 Последний колеблющийся штат - Невада - начинает публиковать первые результаты. После обработки 2% голосов у Трампа - 73%, у Харрис - 26,2%.
06:48 CNN обновил прогноз по выборщикам.
У Камала Харрис — 153 выборщика (без изменений) или 47,5%, у Трампа — 227 выборщиков (+13) или 51%.
06:24 Предполагаемый победитель определен в первом колеблющемся штате - Северной Каролине.
Такой прогноз публикует NBС после обработки 89%, исходя из динамики подсчета.
Дональд Трамп сейчас получает 50,7% против 47,8% Харрис.
Это победа для кандидата будет очень важной, поскольку даст целых 16 выборщиков.
06:29 В США оперативно считают голоса на выборах президента — во многих штатах подсчитано более 50% голосов.
Впрочем, в итоговый результат предварительные данные ясности не вносят.
СМИ сообщают о лидерстве Трампа в большинстве колеблющихся штатах, однако во всех случаях разница между между кандидатами минимальная.
В Аризоне после подсчета 51% голосов Трамп вовсе опережает Харрис на одну десятую процента — 49,6% против 49,5%.
По приоритетности, которую определяет количество выборщиков, колеблющиеся штаты распределяются так:
Пенсильвания (19 выборщиков)
Джорджия (16 выборщиков)
Северная Каролина (16 выборщиков)
Аризона (11 выборщиков)
Мичиган (15 выборщиков)
Висконсин (10 выборщиков)
Невада (6 выборщиков)
Небраска (1 выборщик)

06:15 Ситуация с выборщиками начинает выравниваться - вице-президент серьезно сокращает отрыв. Прогноз для Трампа - 214, для Харрис - уже 153.
05:50 Трамп вырвался вперед в важнейшем колеблющемся штате - Пенсильвании, у него 51,1%, у Харрис - 48%. Победа здесь принесет 19 выборщиков.
05:48 Данные из штатов, где подсчитано больше всего голосов — около 90%.
Вашингтон: Харрис — 90,6%, Трамп — 6,4%.
Вермонт: Харрис — 64,3%, Трамп — 32,6%.
Теннесси: Трамп — 64,9%, Харрис — 33,6%.
Оклахома: Трамп — 66,3%, Харрис — 31,8%.
Луизиана: Трамп — 63,8%, Харрис — 35,8%.
Флорида: Трамп — 56,1%, Харрис — 42,7%.
Делавэр: Харрис — 56,5%, Трамп — 42,1%.
Издание NBS прогнозирует для Трампа 210 выборщиков из 270 необходимых, Харрис — 91.
05:34 В колеблющихся штатах ситуация накаляется.
На эту минуту активно считают голоса в семи из восьми ключевых штатах.
Издание NBC комментирует цифры как too close to call, что переводится как невозможно предсказать исход.
Джорджия: Трамп — 51,2%, Харрис — 48%.
Северная Каролина: Трамп — 50,7%, Харрис — 47,9%.
Пенсильвания: Трамп — 50,9%, Харрис — 48,1%.
Аризона: Трамп — 49,7%, Харрис — 49,5%.
Мичиган: Харрис — 49,4%, Трамп — 48,3%.
Небраска: Харрис — 54,3%, Трамп — 44%.
Висконсин: Харрис — 49,4%, Трамп — 48,9%.
Невада: данные пока отсутствуют.
04:57 New York Times с 71-процентной вероятностью прогнозирует победу Дональда Трампа.

04:43 После подсчета 66% голосов Трамп побеждает в Техасе с 54,8% против 43,9% у Харрис, этот штат принесет ему 40 выборщиков.
АР прогнозирует Трампу 178 выборщиков против 99 у Харрис.
.jpg)
04:17 Начинают подсчитывать голоса в колеблющемся Висконсине. Вот первые данные: у Харрис - 52,9%, у Трампа - 45,9%.
04:13 Камала Харрис одерживает победу в Нью-Йорке, который принесет еще 28 выборщиков. После подсчета 18% она набирает там 70,7%, Трамп - 29,3%.
04:06 Поступают первые данные из колеблющейся Небраски. После подсчета 25% голосов у Харрис 60,9%, у Трампа - 38,1%.
04:04 Появились первые результаты из Мичигана — еще одного колеблющегося штата. После обработки 8% голосов там лидирует Харрис с 54,8% голосов, у Трампа - 43,3%.
03:55 Трамп заявил, что ожидает победы на выборах в случае победы в Пенсильвании.
По результатам 13% подсчитанных голосов, он набирает там 31,8%, Харрис — 67,3%.
03:39 Подсчитаны все голоса в Джорджии — одном из колеблющихся штатов. Трамп там набирает 55,5% голосов, Харрис — 43,9%.

03:30 Появились данные по третьему колеблющемуся штату - Пенсильвании. После обработки 3% Харрис там набирает 72,9%, Трамп - 26%.

03:17 Трамп побеждает в Южной Каролине и получает еще 9 голосов выборщиков, пишет NBC News.
Счет таким образом 99 выборщиков у республиканца - против 27 у Камалы Харрис.

03:07 CNN прогнозирует победу Трампа в Оклахоме, Миссури, Алабаме, Флориде и Теннеси. А Харрис - в Мэриленде, Массачуссетсе и округе Колумбия.
Общий счет сейчас - 90 выборщиков у Трампа и 27 у Камалы Харрис.
02:44 Начался подсчет еще в нескольких штатах. Первые голоса распределяются так.
Флорида: Трамп — 54.0%, Харрис — 45.1%.
Вермонт: Харрис — 62.2%, Трамп — 35.1%.
Нью-Гемпшир: Харрис — 58.7%, Трамп — 40.8%.
Огайо: Трамп — 57.3%, Харрис — 42.0%.
Вирджиния: Харрис — 59.7%, Трамп — 38.8%.
02:39 Пока Трамп продолжает лидировать в Джорджии (где у него уже более 60%), Харрис лидирует в еще одном колеблющемся штате - Северной Каролине (почти 69% по итогам подсчета 2% голосов).

02:35 По данным NBC News, Трамп победит в Западной Вирджинии, собрав таким образом 23 голоса выборщиков.
У Харрис пока только три голоса.

02:28 Появились данные по первому колеблющемуся штату — Джорджии.
После обработки 4% голосов Трамп набирает 52,4%, Харрис — 47,1%.
02:27 CNN прогнозирует, что Трамп победит в штатах Индиана и Кентукки, забрав оттуда 19 голосов выборщиков.
Харрис, по мнению канала, победит в Вермонте, получив три голоса выборщиков.
Подсчет голосов в этих штатах еще не окончен.
01:51 В США публикуются экзитполы по некоторым колеблющимся штатам.
По данным Edison research, в Северной Каролине 48% избирателей симпатизируют Харрис, 43% — Трампу.
В Пенсильвании 47% избирателей симпатизируют Трампу, 46% — Харрис.
В Аризоне по 46% получили оба кандидата. В Мичигане у 45% симпатии на стороне Трампа, а 48% предпочли Харрис.
В Неваде 47% избирателей высказались в пользу Трампа, 44% - Харрис.
01:20 В Индиане и Кентукки уже начался подсчет голосов. Пока там с большим отрывом лидирует Трамп.


01:06 Первые избирательные участки в США закрылись в штатах Индиана и Кентукки. Начинается подсчет голосов.
01:04 К Трампу положительно относятся 44% избирателей - на два процента меньше в сравнении с аналогичным опросом на выборах 2020 года.
У Харрис этот показатель 48% - в сравнении с 52%, которые на прошлых выборах были у Байдена, пишет Reuters, ссылаясь на экзитпол компании Edison Research.
00:54 Большинство сторонников Трампа уверены в том, что выборы прошли нечестно - 52%. Об этом свидетельствует опрос телеканала CBS News. Среди сторонников Харрис в честности выборов уверены 88% избирателей.


00:40 Трамп заявил о "массовых фальсификациях" уже во втором штате - Филадельфия. Ранее сегодня он говорил то же самое о Пенсильвании.
00:20 Помощники Камалы Харрис ожидают, что Трамп заявит о своей победе еще до того, как будет определен победитель, сообщает CNN.
По данным телеканала, в штабе Харрис уже разрабатывают варианты ответных действий.
Советники вице-президента заявили телеканалу, что штаб планирует быть «очень агрессивным» в этом вопросе. Не исключено обращение Камалы Харрис по этому вопросу.
00:05 Трамп заявил, что располагает информацией о "массовых фальсификациях" на президентских выборах в ключевом колеблющемся штате Пенсильвания.
По последним данным, он имеет в этом штате незначительное большинство.
23:32 Камала Харрис посетила свой предвыборный штаб и поговорила со своей сторонницей по телефону, чем вызвала радостные эмоции у окружающих.
Сразу после она показала дисплей, и на нем оказалась включенной камера.
В сети после этого предположили, что никакого звонка не было. На другом видео заметно, что Камала Харрис поговорила с несколькими сторонниками. Телефоны ей давали работники штаба.
23:21 Дональд Трамп опережает Камалу Харрис в большинстве колеблющихся штатов, следует из информации, представленной американским агрегатором данных опросов RealClearPolitics.
Согласно значению индекса, разрыв составляет 0,8 процентных пункта.
Данные по колеблющимся штатам на 00:00 по Киеву:
Аризона — Трамп (2,8 п. п.);
Джорджия — Трамп (1,3 п. п.);
Мичиган — Харрис (0,5 п. п.);
Невада — Трамп (0,6 п. п.);
Пенсильвания — Трамп (0,4 п. п.);
Северная Каролина — Трамп (1,2 п. п.);
Висконсин — Харрис (0,4 п. п.).
23:00 Любой победитель выборов в США будет стремиться завершить войну в Украине. Такое мнение высказал ведущий обозреватель The Washington Post Дэвид Игнатиус.
"Кто бы ни победил завтра в США, фокус будет на прекращении этой ужасной войны – надеюсь, на условиях, которые не будут поощрять агрессию", – написал он.
Также Игнатиус прокомментировал ход боевых действий в Украине.
"Мне сказали, что Украина сейчас строит линию, чтобы защитить свою территорию от дальнейшего российского продвижения к Днепру. Но я согласен, что эта защита была сделана слишком поздно и, вероятно, слишком мало. Единственное объяснение, как я подозреваю, заключается в нежелании Зеленского признать, что война превратилась в оборонный тупик и что украинские надежды на наступление, которое могло бы освободить всю территорию, нереалистичны", – считает обозреватель WP.
22:30 Илон Маск обвинил Google в "предвзятых" поисковых результатах, которые не показывают пользователям, где можно проголосовать за Трампа, но дают возможность найти ближайший избирательный участок, если пользователь ищет то же про Харрис.
Google уже признал проблему и пообещал ее исправить.
22:10 The Washington Post публикует последние данные президентских опросов Post Pulse. Они показывают "невероятно тесную гонку" между Камалой Харрис и Дональдом Трампом.

21:30 В ночь выборов в США запланирован испытательный запуск межконтинентальной баллистической ракеты Minuteman III. Ее запустят сразу после закрытия участков.
21:15 ФБР задержало мужчину, угрожавшего массовой стрельбой в случае победы Трампа, сообщила телекомпания ABC.
По ее информации, Айзек Сиссел размещал в интернете сообщения с угрозами массового расстрела консервативных христиан, если победу на выборах одержит кандидат от республиканцев.
20:55 Популярный одесский паблик проводит опрос, за кого бы проголосовали читатели на выборах в США. Из почти 50 тысяч проголосовавших 55% поддерживают Дональда Трампа. У Харрис, соответственно, 45%.

20:20 Трамп проголосовал и заявил, что "очень уверен" в победе, сообщает CNN.
Выступая перед прессой после того, как он проголосовал во Флориде, Дональд Трамп сказал, что он "очень уверен", что победит на выборах. "Я чувствую себя очень уверенно. Я слышу, что у нас хорошие показатели повсюду", — сказал Трамп.
Он добавил, что это была "лучшая" из трех его кампаний. "Разрыв будет большим. Но потребуется много времени, чтобы подтвердить (победу)", – добавил он.
20:15 В штабе Трампа считают, что к концу выборного дня - 5 ноября - вряд ли будет понятно, кто победит, но будет понятен расклад в нескольких ключевых штатах.
Об этом сообщает CNN со ссылкой на информированные источники.
20:12 Знаменитый карликовый бегемот из Таиланда предсказал победу Трампа на выборах в США, сообщает Bild.
Четырёхмесячному бегемоту по кличке Му-Денг, за которым следят миллионы людей со всего мира, предложили две миски с едой и надписями "Дональд Трамп" и "Камала Харрис" на тайском языке. Животное выбрало миску с именем республиканца.
20:09 58% на победу Трампа дает платформа рынков предсказаний Polymarket.
При этом на победу республиканцев на выборах в Сенат дается 81%, а по Палате представителей прогнозируется победа демократов с вероятностью 54%.
.jpg)
20:00 Избиратели на выборах президента США сталкиваются с рядом проблем на некоторых избирательных участках в колеблющемся штате Пенсильвания, сообщает телекомпания CNN.
В округе Камбрия в этом штате продлили время голосования после сбоя программного обеспечения, который затруднил избирателям возможность сканирования бюллетеней.
Также голосование на двух избирательных участках в Джорджии утром на короткое время было прервано.
Было получено пять неподтвержденных угроз взрыва, что привело к временной эвакуации в двух районах округа Фултон примерно на 30 минут. Местные власти заявили, что будут добиваться судебного постановления о продлении времени голосования.
19:00 Трамп допустил, что может проиграть на выборах. Хотя он считает, что лидирует во всех семи колеблющихся штатах, как бы намекая, что если он проиграет, то это будет результатом фальсификаций.
"Да, я думаю, вы знаете. Я думаю, вы можете проиграть. Я имею в виду, это случается, верно? Но я думаю, что у меня довольно существенное преимущество, но, можно сказать, да, вы можете проиграть. Могут произойти плохие вещи. Знаете, вещи случаются, но это будет интересно", - заявил республиканец ещё 3 ноября в интервью телеканалу ABC News.
Трамп добавил, что ожидает объявления победителя в ночь выборов. То есть без длительных пересчетов.





